ECE :: Exam Questions Paper
-
In the following network, the switch is closed at t = 0 and the sampling starts from t = 0. The sampling frequency is 10Hz.

The samples x(n) (n = 0, 1, 2, ...) are given by -
In the following circuit , the comparator output in log: "I" if V1 > V2 and is logic "0" otherwise. The D/A conversion is done as per the relations VDAC =
2n-2 Volts, where b3 (MSB), b2, b1 and b0 (LSB) are the counter outputs. The counter starts from the clear state
The stable reading of the LED display is -
The transfer characteristic for the precision rectifier circuit shown below is (assume ideal OP-AMP and practical diodes)

-
If the intrinsic resistivity at 300°K is 0.37 ohm-m and the electron and hole mobilities at 300°K are 0.28 and 0.15 m2/volt-sec, then the intrinsic carrier concentration of Germanium is __________ .
-
Figure shows four D type FFs are connected as a shift register using an XOR gate. The initial state and 3 subsequent states for 3 clock pulses are also given


The state QA QB QC QD after the 4th clock pulse is -
A rectangular wave guide is designed to propagate at the dominant mode TE10 at a frequency of 5 GHz. The cut-off frequency is 0.8 of signal frequency. The ratio of the guide width to height is 2. The dimensions of the guide are
-
In the Taylor series expansion of exp(x) + sin(x) about the point x = p, the coefficient of (x - p)2 is
-
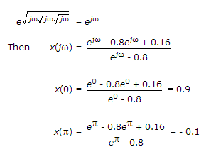
The Z transform of a particular signal is given as
The practical implementation of the system will be -
A two port network shown below is external dc sources. The voltages and the currents are measured with voltmeters V1 V2 and ammeter A1 A2 (all assumed to be ideal), as indicated. Under following switch conditions, the readings obtained are:
(i) S1 - Open, S2 - Closed A1 = 0A, V1 = 4.5 V, V2 = 1.5 V, A2 = 1 A
(ii) S1 - Closed, S2 - Open A1 = 4A, V1 = 6 V, V2 = 6 V, A2 = 0 A
The h parameter matrix for this network is

Whatsapp
Facebook
.



.
G(f)
g(t) = - 2

