GATE 2017-2018 :: GATE ECE
-
The state diagram of a system is shown below. A system is described by the state-variable equations
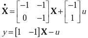
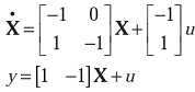
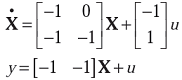
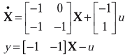
The state-variable equations of the system shown in the figure above are -
The state diagram of a system is shown below. A system is described by the state-variable equations
The state transition matrix eAt of the system shown in the figure above is - Choose the grammatically CORRECT sentence:
-
Statement: You can always give me a ring whenever you need. Which one of the following is the best inference from the above statement?
- In the summer of 2012, in New Delhi, the mean temperature of Monday to Wednesday was 41°C and of Tuesday to Thursday was 43°C. If the temperature on Thursday was 15% higher than that of Monday, then the temperature in °C on Thursday was
-
Complete the sentence: Dare _______________ mistakes.
-
They were requested not to quarrel with others. Which one of the following options is the closest in meaning to the word quarrel?
- A car travels 8 km in the first quarter of an hour, 6 km in the second quarter and 16 km in the third quarter. The average speed of the car in km per hour over the entire journey is
- Find the sum to n terms of the series 10+84+ 734 + .....
-
Statement: There were different streams of freedom movements in colonial India carried out by the moderates, liberals, radicals, socialists, and so on. Which one of the following is the best inference from the above statement?

.
.
.
.
Whatsapp
Facebook
.
.
.
.