GATE 2017-2018 :: GATE ECE
-
The small-signal resistance (i.e., dVB/dID) in kΩ offered by the n-channel MOSFET M shown in the figure below, at a bias point of VB = 2 V is (device data for M: device transconductance parameter kN = μn C'OX (W/L) = 40 μA/V2 threshold voltage VTN = 1 V, and neglect body effect and channel length modulation effects)

-
The ac schematic of an NMOS common-source stage is shown in the figure below, where part of the biasing circuits has been omitted for simplicity. For the n -channel MOSFET M, the transconductance gm = 1 mA/V, and body effect and channel length modulation effect are to be neglected. The lower cutoff frequency in Hz of the circuit is approximately at

-
A system is described by the differential equation d2y/dt2 + 5dy/dt + 6 y(t) = x(t).Let x(t) be a rectangular pulse given by
Assuming that y(0) = 0 and dy/dt = 0 at t = 0, the Laplace transform of y(t ) is - A system described by a linear, constant coefficient, ordinary, first order differential equation has an exact solution given by y(t) for t > 0 , when the forcing function is x(t) and the initial condition is y(0) . If one wishes to modify the system so that the solution becomes -2y(t) for t > 0 , we need to
- Consider two identically distributed zero-mean random variables U and V . Let the cumulative distribution functions of U and 2V be F (x) and G(x) respectively. Then, for all values of x
-
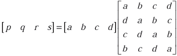
The DFT of a vector [a b c d] is the vector [α β ϒ δ]. Consider the product
The DFT of the vector [ p q r s] is a scaled version of -
The signal flow graph for a system is given below. The transfer function Y(s)/U(s) for this system is

-
In the circuit shown below, Q1 has negligible collector-to-emitter saturation voltage and the diode drops negligible voltage across it under forward bias. If Vcc is +5 V, X and Y are digital signals with 0 V as logic 0 and Vcc as logic 1, then the Boolean expression for Z is

-
A voltage 1000 sin wt Volts is applied across YZ. Assuming ideal diodes, the voltage measured across WX in Volts, is

|
A.
change the initial condition to -y(0) and the forcing function to 2x(t)
|
|
B.
change the initial condition to 2y(0) and the forcing function to -x(t)
|
|
C.
change the initial condition to j √2 y(0) and the forcing function to j √2x(t )
|
|
D.
change the initial condition to -2y(0) and the forcing function to -2x(t)
|

Whatsapp
Facebook

.
.
.