GATE 2017-2018 :: GATE ECE
- A source vs(t) = V cos πt has an internal impedance of (4 + j3)Ω . If a purely resistive load connected to this source has to extract the maximum power out of the source, its value in Ω should be
- The return loss of a device is found to be 20 dB. The voltage standing wave ratio (VSWR) and magnitude of reflection coefficient are respectively
- Let g(t) = e-Ï€t2, and h(t ) is a filter matched to g (t ) . If g (t ) is applied as input to h(t ) , then the Fourier transform of the output is
- Let U and V be two independent zero mean Gaussian random variables of variances 1/4 and 1/9 respectively. The probability P(3V ≥ 2U ) is
-
Let A be an m * n matrix and B an n * m matrix. It is given that determinant (Im + AB) = determinant (In + BA) where Ik is the k * k identity matrix. Using the above property, the determinant of the matrix given below is

-
In the circuit shown below, if the source voltage Vs = 100∠53.13o V then the Thevenin's equivalent voltage in Volts as seen by the load resistance RL is

-
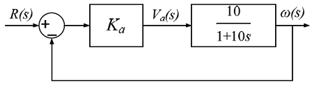
The open-loop transfer function of a dc motor is given as w(s)/Va(s) = 10/(1 + 10s). When connected in feedback as shown below, the approximate value of Ka that will reduce the time constant of the closed loop system by one hundred times as compared to that of the open-loop system is

-
In the circuit shown below, the knee current of the ideal Zener diode is 10 mA. To maintain 5 V across RL, the minimum value of RL in Ω and the minimum power rating of the Zener diode in mW, respectively, are

-
The following arrangement consists of an ideal transformer and an attenuator which attenuates by a factor of 0.8. An ac voltage VWX1 = 100 V applied across WX to get an open circuit voltage VYZ1 across YZ. Next, an ac voltage VYZ2 100V is applied across YZ to get an open circuit voltage VWX2 across WX. Then, VYZ1/VWX1, VWX2/VYZ2 are respectively,

- Two magnetically uncoupled inductive coils have Q factors q1 and q2 at the chosen operating frequency. Their respective resistances are R1 and R2. When connected in series, their effective Q factor at the same operating frequency is

Whatsapp
Facebook