GATE 2017-2018 :: GATE Production
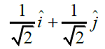
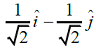
- For the spherical surface x2 + y2 + z2 = 1, the unit outward normal vector at the point (1/√2, 1/√2, 0) is given by
- Consider the function f(x) = |x| in the interval -1 ≤ x ≤ 1. At the point x = 0, f(x) is
- At x = 0, the function f (x) = x3 + 1 has
- The area enclosed between the straight line y = x and the parabola y = x2 in the x-y plane is
- For a long slender column of uniform cross section, the ratio of critical buckling load for the case with both ends clamped to the case with both ends hinged is
- A cantilever beam of length L is subjected to a moment M at the free end. The moment of inertia of the beam cross section about the neutral axis is I and the Young's modulus is E. The magnitude of the maximum deflection is
- A circular solid disc of uniform thickness 20 mm, radius 200 mm and mass 20 kg, is used as a flywheel. If it rotates at 600 rpm, the kinetic energy of the flywheel, in Joules is
-
In the mechanism given below, if the angular velocity of the eccentric circular disc is 1 rad/s, the angular velocity (rad/s) of the follower link for the instant shown in the figure is

- Steam enters an adiabatic turbine operating at steady state with an enthalpy of 3251.0 kJ/kg and leaves as a saturated mixture at 15 kPa with quality (dryness fraction) 0.9. The enthalpies of the saturated liquid and vapor at 15 kPa are hf = 225.94 kJ/kg and hg = 2598.3 kJ/kg respectively. The mass flow rate of steam is 10 kg/s. Kinetic and potential energy changes are negligible. The power output of the turbine in MW is

is
Whatsapp
Facebook
.
.
.
.