GATE 2017-2018 :: GATE Production
-
Consider two infinitely long thin concentric tubes of circular cross section as shown in the figure. If D1 and D2 are the diameters of the inner and outer tubes respectively, then the view factor F22 is given by

-
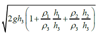
A large tank with a nozzle attached contains three immiscible, inviscid fluids as shown. Assuming that the changes in h1, h2 and h3 are negligible, the instantaneous discharge velocity is

- In a DC arc welding operation, the voltage-arc length characteristic was obtained as Varc = 20+5l where the arc length l was varied between 5 mm and 7 mm. Here Varc denotes the arc voltage in Volts. The arc current was varied from 400 A to 500 A. Assuming linear power source characteristic, the open circuit voltage and the short circuit current for the welding operation are
- In a single pass rolling process using 410 mm diameter steel rollers, a strip of width 140 mm and thickness 8 mm undergoes 10 % reduction of thickness. The angle of bite in radians is
-
A mould having dimensions 100 mm × 90 mm × 20 mm is filled with molten metal through a gate as shown in the figure. For height h and cross-sectional area A, the mould filling time is t1. The height is now quadrupled and the cross-sectional area is halved. The corresponding filling time is t2. The ratio t2/t1 is

-
A thin square plate ABCD with side of unit length is kept in the X-Y plane as shown in the figure. The plate is first rotated by 30° in the anti clockwise direction about the Z-axis with A fixed at the origin. The plate is then rotated by 90° in the anti clockwise direction about the X-axis with A fixed at the origin. The final co-ordinates of C are

- A sine bar has a length of 250 mm. Each roller has a diameter of 20 mm. During taper angle measurement of a component, the height from the surface plate to the centre of a roller is 100 mm. The calculated taper angle (in degrees) is
-
Match the following plastic products with their most appropriate materials.Products Materials1. Gears P. Polymethylmethacrylate (PMMA)2. Helmets Q. Polyamides (PA)3. Lenses R. Polyethylene (PE)4. Food packaging S. Acrylonitrile-butadiene-styrene (ABS)
- In a shaping process, the number of double strokes per minute is 30 and the quick return ratio is 0.6. If the length of the stroke is 250 mm, the average cutting velocity in m/min is
- For a linear programming problem, the set of constraints x + y ≤ 2, 3x + 5y ≥ 15, x ≥ 0 and y ≥ 0 leads to

Whatsapp
Facebook
.
.
.
.