GATE 2017-2018 :: GATE Mathematics
- Using Euler's method taking step size = 0.1, the approximate value of y obtained corresponding to x = 0.2 for the initial value problem dy/dx = x2 + y2 and y(0) = 1, is
-
The following table gives the unit transportation costs, the supply at each origin and the demand of each destination for a transportation problem.
Let xij denote the number of units to be transported from origin i to destination j. If the u-v method is applied to improve the basic feasible solution given by x12 = 60, x22 = 10, x23 = 50, x24 = 20, x31 = 40 and x34 = 60, then the variables entering and leaving the basis, respectively, are -
Consider the system of equations
.Using Jacobi's method with the initial guess [x(0) y(0) z(0)]T = [2.0 3.0 0.0]T, the approximate solution [x(2) y(2) z(2)]T after two iterations, is -
The optimal table for the primal linear programming problem:
If y1 and y2 are the dual variables corresponding to the first and second primal constraints, then their values in the optimal solution of the dual problem are, respectively, -
The optimal table for the primal linear programming problem:
If the right hand side of the second constraint is changed from 8 to 20, then in the optimal solution of the primal problem, the basic variables will be -
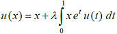
Consider the Fredholm integral equation
.The resolvent kernel R(x, t; λ) for this integral equation is -
Consider the Fredholm integral equation
.The solution of this integral equation is -
The joint probability density function of two random variables X and Y is given as
E(X) and E(Y) are, respectively, -
Consider the functions f(z) = (z2 + αx)/(z + 1)2 and g(z) = sinh(z - π/2α), α≠0The residue of f (z) at its pole is equal to 1. Then the value of α is
-
Consider the functions f(z) = (z2 + αx)/(z + 1)2 and g(z) = sinh(z - π/2α), α≠0For the value of α obtained in Q.54, the function g(z) is not conformal at a point

Whatsapp
Facebook