GATE 2017-2018 :: GATE Mathematics
- The expression 1/(Dx2 - Dy2) sin(x - y) is equal to
-
Given the data:
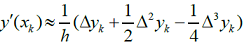
If the derivative of y(x) is approximated as:
, then the value of y'(2) is -
The approximate eigenvalue of the matrix
obtained after two iterations of Power method, with the initial vector [1 1 1]T , is - The root of the equation x ex = 1 between 0 and 1, obtained by using two iterations of bisection method, is
-
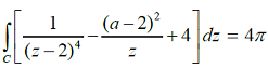
Let
, where the close curve C is the triangle having vertices at i, [(-1 - i)/√2] and [(1 - i)/√2], the integral being taken in anti-clockwise direction. Then one value of a is -
If a random variable X assumes only positive integral values, with the probability P(X = x) = 2/3 (1/3)x-1, x = 1,2,3,...then E(X) is
-
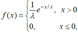
The probability density function of the random variable X is
where λ = 0. For testing the hypothesis H0 : λ = 3 against HA : λ = 5 a test is given as "Reject H0 if X ≥ 4.5". The probability of type I error and power of this test are, respectively,

Whatsapp
Facebook
is
, then A50 is
.
.
.
.