Home / GATE 2017-2018 / GATE Mathematics :: Practice Test Paper 1

GATE 2017-2018 :: GATE Mathematics

  1. The order of the smallest possible non trivial group containing elements x and y such that x7 = y2 = e and yx = x4y is
  2. A.
    1
    B.
    2
    C.
    7
    D.
    14

  3. The number of 5-Sylow subgroup(s) in a group of order 45 is
  4. A.
    1
    B.
    2
    C.
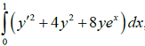
    3
    D.
    4

  5. The flux of the vector field  flowing out through the surface of the ellipsoid
     is
  6. A.
    πabc
    B.
    2Ï€abc
    C.
    3Ï€abc
    D.
    4Ï€abc

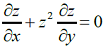
  7. The integral surface satisfying the partial differential equation  and passing through the straight line x = 1, y = z is
  8. A.
    (x - 1)z + z2 = y2
    B.
    x2 + y2 - z2 = 1
    C.
    (y - z)x + x2 = 1
    D.
    (x - 1)z2 + z = y

  9. The diffusion equation

    admits the solution
  10. A.
    e-36t/2 [sin 6x + e20t sin 4x]
    B.
    e-36t/2 [sin 4x + e20t sin 6x]
    C.
    e-20t/2 [sin 3x + e20t sin 5x]
    D.
    e-36t/2 [sin 5x + e20t sin x]

  11. Let f(x) and xf(x) be the particular solutions of a differential equation 
    y'' + R(x)y' + S(x)y = 0. 
    Then the solution of the differential equation y'' + R(x)y' + S(x)y = f(x) is
  12. A.
    y = [-x2/2 + αx + β] f(x)
    B.
    y = [x2/2 + αx + β] f(x)
    C.
    y = [-x2 + αx + β] f(x)
    D.
    y = [x3 + αx + β] f(x)

  13. Let the Legendre equation (1 - x2)y'' - 2xy' + n(n + 1)y = 0 have nth degree polynomial solution yn(x) such that yn(1) = 3. If  ,then n is
  14. A.
    1
    B.
    2
    C.
    3
    D.
    4

  15. The maximum value of the function f (x, y, z) = xyz subject to the constraint xy + yz + zx - a = 0,a > 0 is
  16. A.
    a3/2
    B.
    (a/3)3/2
    C.
    (3/a)3/2
    D.
    (3a/2)3/2

  17. The functional , y(0) = -4/3 , y(1) = -4e/3 possesses :
  18. A.
    strong minima on y = -1/3 ex
    B.
    strong minima on y = -4/3 ex
    C.
    weak maxima on y = -1/3 ex
    D.
    strong maxima on y = -4/3 ex

  19. For the matrix
     ,
    which of the following statements are correct?
    P : M is skew-Hermitian and iM is Hermitian
    Q : M is Hermitian and iM is skew Hermitian
    R : eigenvalues of M are real
    S : eigenvalues of iM are real
  20. A.
    P and R only
    B.
    Q and R only
    C.
    P and S only
    D.
    Q and S only