Home / GATE 2017-2018 / GATE Chemical :: Practice Test Paper 2

GATE 2017-2018 :: GATE Chemical

  1. The number of emails received on six consecutive days is 11, 9, 18, 18, 4 and 15, respectively. What are the median and the mode for these data?
  2. A.
    18 and 11, respectively
    B.
    13 and 18, respectively
    C.
    13 and 12.5, respectively
    D.
    12.5 and 18, respectively

  3. For two rolls of a fair die, the probability of getting a 4 in the first roll and a number less than 4 in the second roll, up to 3 digits after the decimal point, is _________
  4. A.
    0.082 to 0.084
    B.
    0.080 to 0.082
    C.
    0.088 to 0.090
    D.
    0.085 to 0.087

  5. Which of the following statements are TRUE? 
    P. The eigenvalues of a symmetric matrix are real 
    Q. The value of the determinant of an orthogonal matrix can only be +1 
    R. The transpose of a square matrix A has the same eigenvalues as those of A 
    S. The inverse of an 'n × n' matrix exists if and only if the rank is less than 'n'
  6. A.
    P and Q only
    B.
    P and R only
    C.
    Q and R only
    D.
    P and S only

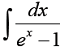
  7. Evaluate  ( Note: C is a constant of integration.)
  8. A.
    ex/(ex - 1) + C
    B.
    ln (ex - 1)/ex + C
    C.
    ln[ex/(ex - 1)] + C
    D.
    ln(1 - e-x) + C

  9. A gaseous system contains H2, I2, and HI, which participate in the gas-phase reaction
    2 HI <-----> H2 + I2
    At a state of reaction equilibrium, the number of thermodynamic degrees of freedom is _________
  10. A.
    2
    B.
    5
    C.
    9
    D.
    3

  11. The thermodynamic state of a closed system containing a pure fluid changes from (T1, p1) to (T2, p2), where T and p denote the temperature and pressure, respectively. Let Q denote the heat absorbed (> 0 if absorbed by the system) and W the work done (> 0 if done by the system). Neglect changes in kinetic and potential energies. Which one of the following is CORRECT?
  12. A.
    Q is path-independent and W is path-dependent
    B.
    Q is path-dependent and W is path-independent
    C.
    (Q − W) is path-independent
    D.
    (Q + W) is path-independent

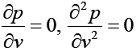
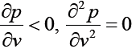
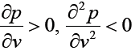
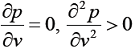
  13. An equation of state is explicit in pressure p and cubic in the specific volume v. At the critical point 'c', the isotherm passing through 'c' satisfies
  14. A.
    .

    B.
    .

    C.
    .

    D.
    .


  15. The units of the isothermal compressibility are
  16. A.
    m-3
    B.
    Pa-1
    C.
    m3Pa-1
    D.
    m-3Pa-1

  17. An open tank contains two immiscible liquids of densities (800 kg/m3 and 1000 kg/m3) as shown in the figure. If g = 10 m/s2, under static conditions, the gauge pressure at the bottom of the tank in Pa is ___________

  18. A.
    23000
    B.
    24000
    C.
    26000
    D.
    20000

  19. The apparent viscosity of a fluid is given by 0.007 |dV/dy|0.3 where (dV/dy) is the velocity gradient. The fluid is
  20. A.
    Bingham plastic
    B.
    dilatant
    C.
    pseudoplastic
    D.
    thixotropic