GATE 2017-2018 :: GATE Chemical
-
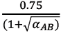
The vapor liquid equilibrium relation for an ideal binary system is given by y*A = (αABxA)/[1 + (αAB - 1)xA]Here xA and y*A are the mole fractions of species A in the liquid and vapor, respectively. The relative volatility (αAB) is greater than unity.The liquid mole fraction xA at which the maximum difference between the equilibrium vapor mole fraction and liquid mole fraction occurs is
-
The vapor liquid equilibrium relation for an ideal binary system is given by y*A = (αABxA)/[1 + (αAB - 1)xA]Here xA and y*A are the mole fractions of species A in the liquid and vapor, respectively. The relative volatility (αAB) is greater than unity.A liquid having the composition found in the first part of the linked answer question, is flash distilled at a steady state to a final liquid mole fraction of 0.25. If αAB is 2.5, the fraction of the feed vaporized is
-
Consider the following transfer function Gp(s) = 5/(2s + 1)4 (Note: The unit of the process time constant is in seconds.) The crossover frequency (in rad/s) of the process is
-
Consider the following transfer function Gp(s) = 5/(2s + 1)4 (Note: The unit of the process time constant is in seconds.) For the computation of Ziegler-Nichols settings, the ultimate period (in s/cycle) and the ultimate gain are
- If 3 ≤ X ≤ 5 and 8 ≤ Y ≤ 11 then which of the following options is TRUE?
-
The Headmaster ___________ to speak to you. Which of the following options is incorrect to complete the above sentence?
- Mahatama Gandhi was known for his humility as
-
All engineering students should learn mechanics, mathematics and how to do computation. I II III IVWhich of the above underlined parts of the sentence is not appropriate?
- Select the pair that best expresses a relationship similar to that expressed in the pair: water: pipe::
- Velocity of an object fired directly in upward direction is given by V = 80 − 32 t, where t (time) is in seconds. When will the velocity be between 32 m/sec and 64 m/sec?

.
.
.
.
Whatsapp
Facebook