GATE 2017-2018 :: GATE Production
- Let X be a normal random variable with mean 1 and variance 4. The probability P{X<0} is
- Choose the CORRECT set of functions, which are linearly dependent.
- The eigenvalues of a symmetric matrix are all
-
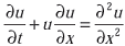
The partial differential equation
is a -
A rod of length L having uniform cross-sectional area A is subjected to a tensile force P as shown in the figure below. If the Young's modulus of the material varies linearly from E1 to E2 along the length of the rod, the normal stress developed at the section-SS is

- For steady, fully developed flow inside a straight pipe of diameter D, neglecting gravity effects, the pressure drop ∆p over a length L and the wall shear stress tw are related by
- For a ductile material, toughness is a measure of
- A steel bar 200 mm in diameter is turned at a feed of 0.25 mm/rev with a depth of cut of 4 mm. The rotational speed of the workpiece is 160 rpm. The material removal rate in mm3/s is
- In the 3-2-1 principle of fixture design, 3 refers to the number of

Whatsapp
Facebook
