GATE 2017-2018 :: GATE Physics
-
Group I contains elementary excitations in solids. Group II gives the associated fields with these excitations. MATCH the excitations with their associated field and select your answer as per codes given below.Group I Group II(P) phonon (i) photon + lattice vibration(Q) plasmon (ii) electron + elastic deformation(R) polaron (iii) collective electron oscillations(S) polariton (iv) elastic wave
- The number of distinct ways of placing four indistinguishable balls into five distinguishable boxes is ____________.
- A voltage regulator has ripple rejection of -50 dB. If input ripple is 1 mV, what is the output ripple voltage in μV? The answer should be up to two decimal places. __________
- The number of spectral lines allowed in the spectrum for the 3 2D → 3 2P transition in sodium is ____________.
- Which of the following pairs of the given function F(t) and its Laplace transform f(s) is NOT CORRECT?
- The relativistic form of Newton's second law of motion is
-
Consider a gas of atoms obeying Maxwell-Boltzmann statistics. The average value of
over all the momenta
of each of the particles (where
is a constant vector and a is its magnitude, m is the mass of each atom, T is temperature and k is Boltzmann's constant) is, -
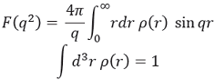
The electromagnetic form factor F(q2) of a nucleus is given by, F(q2) = exp[-q2/2Q2]where Q is a constant. Given that
where Ï(r) is the charge density, the root mean square radius of the nucleus is given by,

Whatsapp
Facebook
.
.
.
.
.