Home / GATE 2017-2018 / GATE Metallurgical :: Practice Test Paper 1

GATE 2017-2018 :: GATE Metallurgical

  1. A is a 2 * 2 matrix with det A = 2. The det (2A) is
  2. A.
    4
    B.
    8
    C.
    32
    D.
    16

  3. In a production facility, iron rods are made with a mean diameter of 6 cm and standard deviation of 0.02 cm. If a large number of rods are tested, the approximate percentage of rods whose sizes fall in the range of 5.98 cm to 6.02 cm is
  4. A.
    68
    B.
    75
    C.
    90
    D.
    99.7

  5. Which one of the following methods is NOT used for numerical integration?
  6. A.
    Rectangular rule
    B.
    Trapezoidal rule
    C.
    Simpson's rule
    D.
    Cramer's rule

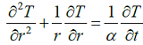
  7. How many boundary conditions are required to solve the following equation?

  8. A.
    Two in r-direction
    B.
    One in r-direction and one for time
    C.
    Two in r-direction and one for time
    D.
    Three in r-direction and one for time

  9. When a zinc metal rod is immersed in dilute hydrochloric acid, it results in
  10. A.
    Evolution of hydrogen
    B.
    Evolution of chlorine
    C.
    Evolution of oxygen
    D.
    No evolution of any gas

  11. A fluid is flowing with a velocity of 0.5 m/s on a plate moving with a velocity of 0.01 m/s in the same direction. The velocity at the interface of the fluid and plate is
  12. A.
    0.0 m/s
    B.
    0.01 m/s
    C.
    0.255 m/s
    D.
    0.50 m/s

  13. Hot metal at 1700 K is poured in a sand mould that is open at the top. Heat loss from the liquid metal takes place by
  14. A.
    Radiation only
    B.
    Radiation and conduction only
    C.
    Radiation and convection only
    D.
    Radiation, conduction and convection

  15. Which one of the following is an equilibrium defect?
  16. A.
    Vacancies
    B.
    Dislocations
    C.
    Stacking faults
    D.
    Grain boundaries

  17. Floatation beneficiation is based on the principle of
  18. A.
    Mineral surface hydrophobicity
    B.
    Gravity difference
    C.
    Chemical reactivity
    D.
    Particle size difference

  19. Copper can be reduced from acidic copper sulphate solution by
  20. A.
    Silver
    B.
    Iron
    C.
    Carbon
    D.
    Lead