GATE 2017-2018 :: GATE Mechanical
-
The state of stress at a point under plane stress condition is σxx = 40 MPa, σyy = 100 MPa and τxy = 40 MPa. The radius of the Mohr's circle representing the given state of stress in MPa is
- The inverse Laplace transform of the function F(s) = 1/s(s + 1) is given by
-
Calculate the punch size in mm, for a circular blanking operation for which details are given below.Size of the blank 25 mmThickness of the sheet 2 mmRadial clearance between punch and die 0.06 mmDie allowance 0.05 mm
- In a single pass rolling process using 410 mm diameter steel rollers, a strip of width 140 mm and thickness 8 mm undergoes 10 % reduction of thickness. The angle of bite in radians is
- In a DC arc welding operation, the voltage-arc length characteristic was obtained as Varc = 20 + 5l where the arc length l was varied between 5 mm and 7 mm. Here Varc denotes the arc voltage in Volts. The arc current was varied from 400 A to 500 A. Assuming linear power source characteristic, the open circuit voltage and the short circuit current for the welding operation are
-
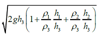
A large tank with a nozzle attached contains three immiscible, inviscid fluids as shown. Assuming that the changes in h1, h2 and h3 are negligible, the instantaneous discharge velocity is

- Water (Cp = 4.18 kJ/kg.K) at 80°C enters a counter flow heat exchanger with a mass flow rate of 0.5 kg/s. Air (Cp = 1 kJ/kg.K) enters at 30°C with a mass flow rate of 2.09 kg/s. If the effectiveness of the heat exchanger is 0.8, the LMTD (in °C) is
- A solid steel cube constrained on all six faces is heated so that the temperature rises uniformly by ∆T. If the thermal coefficient of the material is α, Young's modulus is E and the Poisson's ratio is υ , the thermal stress developed in the cube due to heating is
- A solid circular shaft needs to be designed to transmit a torque of 50 N.m. If the allowable shear stress of the material is 140 MPa, assuming a factor of safety of 2, the minimum allowable design diameter in mm is

Whatsapp
Facebook
, ONE of the normalized eigen vectors is given as
.
.
.
.
.
.
.
.