GATE 2017-2018 :: GATE Mechanical
- At x = 0, the function f(x) = x3 + 1 has
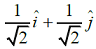
- For the spherical surface x2 + y2 + z2 = 1, the unit outward normal vector at the point (1/√2, 1/√2, 0) is given by
-
The homogeneous state of stress for a metal part undergoing plastic deformation is
where the stress component values are in MPa. Using von Mises yield criterion, the value of estimated shear yield stress, in MPa is -
Details pertaining to an orthogonal metal cutting process are given below.Chip thickness ratio 0.4Undeformed thickness 0.6 mmRake angle +10°Cutting speed 2.5 m/sMean thickness of primary shear zone 25 micronsThe shear strain rate in s“1 during the process is
- In a single pass drilling operation, a through hole of 15 mm diameter is to be drilled in a steel plate of 50 mm thickness. Drill spindle speed is 500 rpm, feed is 0.2 mm/rev and drill point angle is 118°. Assuming 2 mm clearance at approach and exit, the total drill time (in seconds) is
-
Consider two infinitely long thin concentric tubes of circular cross section as shown in the figure. If D1 and D2 are the diameters of the inner and outer tubes respectively, then the view factor F22 is given by

- An incompressible fluid flows over a flat plate with zero pressure gradient. The boundary layer thickness is 1 mm at a location where the Reynolds number is 1000. If the velocity of the fluid alone is increased by a factor of 4, then the boundary layer thickness at the same location, in mm will be
- A room contains 35 kg of dry air and 0.5 kg of water vapor. The total pressure and temperature of air in the room are 100 kPa and 25°C respectively. Given that the saturation pressure for water at 25°C is 3.17 kPa, the relative humidity of the air in the room is
-
A fillet welded joint is subjected to transverse loading F as shown in the figure. Both legs of the fillets are of 10 mm size and the weld length is 30 mm. If the allowable shear stress of the weld is 94 MPa, considering the minimum throat area of the weld, the maximum allowable transverse load in kN is

-
A concentrated mass m is attached at the centre of a rod of length 2L as shown in the figure. The rod is kept in a horizontal equilibrium position by a spring of stiffness k. For very small amplitude of vibration, neglecting the weights of the rod and spring, the undamped natural frequency of the system is


Whatsapp
Facebook
.
.
.
.