GATE 2017-2018 :: GATE Instrumentation
- An accelerometer has input range of 0 to 10g, natural frequency 30 Hz and mass 0.001 kg. The range of the secondary displacement transducer in mm required to cover the input range is
-
In the circuit shown below what is the output voltage (Vout) out V in Volts if a silicon transistor Q and an ideal op-amp are used?

-
In the feedback network shown below, if the feedback factor k is increased, then the

-
The Bode plot of a transfer function G(s) is shown in the figure below.
The gain (20 log|G(s)|) is 32 dB and “8 dB at 1 rad/s and 10 rad/s respectively. The phase is negative for all ω. Then G(s) is - While numerically solving the differential equation dy/dx + 2xy2 = 0, y (0) =1 using Euler's predictorcorrector (improved Euler-Cauchy) method with a step size of 0.2, the value of y after the first step is
-
Considering the transformer to be ideal, the transmission parameter 'A' of the 2-port network shown in the figure below is

-
The following arrangement consists of an ideal transformer and an attenuator, which attenuates by a factor of 0.8. An ac voltage VWX1 = 100V is applied across WX to get an open circuit voltage VYZ1 across YZ. Next, an ac voltage VYZ2 100V is applied across YZ to get an open circuit voltage VWX2 across WX. Then, VYZ1/VWX1, VWX2/VYZ2 are respectively,

-
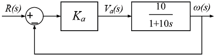
The open-loop transfer function of a dc motor is given as w(s)/Va (s) = 10/(1 + 10 s). When connected in feedback as shown below, the approximate value of Ka that will reduce the time constant of the closed loop system by one hundred times as compared to that of the open-loop system is

- Two magnetically uncoupled inductive coils have Q factors q1 and q2 at the chosen operating frequency. Their respective resistances are R1 and R2. When connected in series, the effective Q factor of the series combination at the same operating frequency is
-
For the circuit shown below, the knee current of the ideal Zener diode is 10 mA. To maintain 5 V across RL , the minimum value of the load resistor RL in Ω and the minimum power rating of the Zener diode in mW, respectively, are


Whatsapp
Facebook