GATE 2017-2018 :: GATE Instrumentation
-
The transfer function V2 (s)/V1 (s) of the circuit shown below is

-
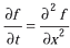
The type of the partial differential equation
is - The discrete-time transfer function (1 - 2 z-1)/(1 - 0.5 z-1) is
-
Match the following biomedical instrumentation techniques with their applicationsP : Otoscopy U : Respiratory volume measurementQ : Ultrasound Technique V : Ear diagnosticsR : Spirometry W : Echo-cardiographyS : Thermodilution Technique X : Heart volume measurement
- A continuous random variable X has a probability density function f(x) = e-x, 0 < x < ∞. Then P{X > 1} is
- A band-limited signal with a maximum frequency of 5 kHz is to be sampled. According to the sampling theorem, the sampling frequency in kHz which is not valid is
- The differential pressure transmitter of a flow meter using a venturi tube reads 2.5 × 105 Pa for a flow rate of 0.5 m3/s. The approximate flow rate in m3/s for a differential pressure 0.9 × 105 Pa is
- A bulb in a staircase has two switches, one switch being at the ground floor and the other one at the first floor. The bulb can be turned ON and also can be turned OFF by any one of the switches irrespective of the state of the other switch. The logic of switching of the bulb resembles
- The impulse response of a system is h(t) = t u(t) . For an input u(t -1) , the output is
-
Consider a delta connection of resistors and its equivalent star connection as shown. If all elements of the delta connection are scaled by a factor k, k> 0, the elements of the corresponding star equivalent will be scaled by a factor of


Whatsapp
Facebook