GATE 2017-2018 :: GATE Civil
- Select the strength parameter of concrete used in design of plain jointed cement concrete pavements from the following choices:
- For two major roads with divided carriageway crossing at right angle,a full clover leaf interchange with four indirect ramps is provided. Following statements are made on turning movements of vehicles to all directions from both roads. Identify the correct statement:
- The latitude and departure of a line AB are +78 m and -45.1 m, respectively. The whole circle bearing of the line AB is:
-
The state of 2D-stress at a point is given by the following matrix of stresses:
What is the magnitude of maximum shear stress in MPa? -
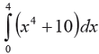
Find the magnitude of the error (correct to two decimal places) in the estimation of following integral using Simpson's 1/3 Rule. Take the step length as 1. _________

-
Find the value of λ such that the function f(x) is a valid probability density function. __________f(x) = λ(x - 1)(2 - x) for 1 ≤ x ≤ 2= 0 otherwise
-
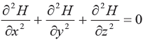
Laplace equation for water flow in soils is given below.
Head H does not vary in y and z directions.Boundary conditions are: at x = 0, H = 5;and dH/dx = -1What is the value of H at x = 1.2? __________ -
All members in the rigid-jointed frame shown are prismatic and have the same flexural stiffness EI. Find the magnitude of the bending moment at Q (in kNm) due to the given loading. __________

-
A uniform beam (EI = constant) PQ in the form of a quarter-circle of radius R is fixed at end P and free at the end Q, where a load W is applied as shown. The vertical downward displacement, δq at the loaded point Q is given by: δq = β(WR3/EI). Find the value of β(correct to 4-decimal places). __________

-
A uniform beam weighing 1800 N is supported at E and F by cable ABCD. Determine the tension(in N) in segment AB of this cable(correct to 1-decimal place). Assume the cables ABCD, BE and CF to be weightless.______


Whatsapp
Facebook