GATE 2017-2018 :: GATE Civil
-
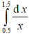
The estimate of
obtained using Simpson's rule with three-point function evaluation exceeds the exact value by - The annual precipitation data of a city is normally distributed with mean and standard deviation as 1000 mm and 200 mm, respectively. The probability that the annual precipitation will be more than 1200 mm is
- The infinite series 1 + x + x2/2! + x3/3! + x4/4! + ... corresponds to
- The Poisson's ratio is defined as
-
The following statements are related to bending of beams: I The slope of the bending moment diagram is equal to the shear force.II The slope of the shear force diagram is equal to the load intensity.III The slope of the curvature is equal to the flexural rotation.IV The second derivative of the deflection is equal to the curvature.The only FALSE statement is
- As per IS 456:2000, in the Limit State Design of a flexural member, the strain in reinforcing bars under tension at ultimate state should not be less than
- Which one of the following is categorised as a long-term loss of prestress in a prestressed concrete member?
- In a steel plate with bolted connections, the rupture of the net section is a mode of failure under
- The ratio of the theoretical critical buckling load for a column with fixed ends to that of another column with the same dimensions and material, but with pinned ends, is equal to
- The effective stress friction angle of a saturated, cohesionless soil is 380. The ratio of shear stress to normal effective stress on the failure plane is

Whatsapp
Facebook