GATE 2017-2018 :: GATE Aeronautical Engineering
-
Select the pair that best expresses a relationship similar to that expressed in the pair: water: pipe::
- Velocity of an object fired directly in upward direction is given by V = 80 - 32 t, where t (time) is in seconds. When will the velocity be between 32 m/sec and 64 m/sec?
- In a factory, two machines M1 and M2 manufacture 60% and 40% of the autocomponents respectively. Out of the total production, 2% of M1 and 3% of M2 are found to be defective. If a randomly drawn autocomponent from the combined lot is found defective, what is the probability that it was manufactured by M2?
-
Following table gives data on tourists from different countries visiting India in the year 2011.
Which two countries contributed to the one third of the total number of tourists who visited India in 2011? -
All professors are researchers Some scientists are professorsWhich of the given conclusions is logically valid and is inferred from the above arguments:
-
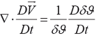
Consider a compressible flow where an elemental volume of the fluid is
, moving with velocity
. Which one of the following expressions is TRUE?

Whatsapp
Facebook
.
.
.
.