ECE :: Automatic Control Systems
-
A system has 12 poles and 2 zeros. Its high frequency asymptote in its magnitude plot has a slope of
-
The open loop transfer function of a unity feedback system is
The poles of closed loop system are at -
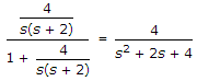
For the system of the given figure the closed loop poles are located at

-
The system in the given figure, x(0) = 0 and x (0) = 0, At t = 0 the unit impulse δ(t) is applied X(s)

-
If
the polar plot, as the frequency is varied from 0 to infinity is -
A second order system has damping ratio x and natural frequency ωn. The unit step response is
-
For a first order system having transfer function
, the unit step response is -
Which of the following is not a necessary advantage of negative feedback system?

Whatsapp
Facebook
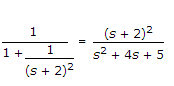
for s2 + 4s + 5 = 0, the roots are - 2 ± j1.
.
.
.
is
and is less than 1.
.

Since R2 > > R1 the term 1 + R1Cs is small as compared to 1 + R2Cs. Hence the factor
can be neglected.