Home / Chemical Engineering / Fluid Mechanics :: Section 2

Chemical Engineering :: Fluid Mechanics

  1. Two dimensional stream function

  2. A.
    relates velocity and pressure.
    B.
    is constant along a stream line.
    C.
    is constant along an equipotential surface.
    D.
    none of these.

  3. What causes cavitation in centrifugal pump ?

  4. A.
    High suction pressure
    B.
    Low barometric pressure
    C.
    Low suction pressure
    D.
    High suction velocity

  5. Draining of shallow pits or sump is done by a sump pump, which is a __________ pump.

  6. A.
    single stage vertical
    B.
    centrifugal
    C.
    plunger
    D.
    diffuser

  7. A hydraulic ram acts as a/an __________ pump.

  8. A.
    centrifugal
    B.
    reciprocating
    C.
    impulse
    D.
    parallel cylinder

  9. The ratio of average fluid velocity to the maximum velocity in case of laminar flow of a Newtonion fluid in a circular pipe is

  10. A.
    0.5
    B.
    1
    C.
    2
    D.
    0.66

  11. Choose the correct set of dimensions of viscosity that are equivalent (where, F, M, L, T are dimensions for force, mass, length and time respectively).

  12. A.
    FL-2T, ML-1T-1
    B.
    FLT, ML-1T-1
    C.
    ML-1T-3, F-1L2T
    D.
    F-1L2T-1, MLT-3

  13. The line of action of the buoyant force passes through the centre of gravity of the

  14. A.
    submerged body.
    B.
    displaced volume of the fluid.
    C.
    volume of fluid vertically above the body.
    D.
    horizontal projection of the body.

  15. Pick out the wrong statement.

  16. A.
    The shear stress at the pipe (dia = D, length = L) wall in case of laminar flow of Newtonion fluids is
    B.
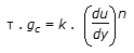
    In the equation, the value of 'n' for pseudoplastic and dilatant fluids are < 1 and >1 respectively.
    C.
    Shear stress for Newtonion fluid is proportional to the rate of shear in the direction perpendicular to motion.
    D.
    With increase in the Mach number >0.6, the drag co-efficient decreases in case of compressible fluids.

  17. The friction factor for turbulent flow in a hydraulically smooth pipe

  18. A.
    depends only on Reynolds number.
    B.
    does not depend on Reynolds number.
    C.
    depends on the roughness.
    D.
    none of these.

  19. The pressure at a point in a fluid is not the same in all directions, when the fluid is viscous and

  20. A.
    moving
    B.
    static
    C.
    cold
    D.
    hot