Mechanical Engineering :: Compressors,Gas Dynamics and Gas Turbines
-
The overall thermal efficiency of an ideal gas turbine plant is (where r = Pressure ratio)
-
The speed of rotary air compressor is __________ as compared to reciprocating air compressor.
-
When air is to be compressed at a high pressure, then it is advantageous to use
-
The absolute pressure of air at the outlet of a compressor is called
-
The degree of reaction is usually kept __________ for all types of axial flow compressors.
-
Standard air is the air at __________ and relative humidity of 36 percent.
-
In a single stage, single acting reciprocating air compressor without clearance volume, the workdone is maximum during
-
The compressor capacity is defined as the
-
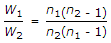
In n1 and n2 are the indices of compression for the first and second stage of compression, then the ratio of workdone on the first and second stages (W1/W2) with perfect intercoooing is given by
-
The operation of the reciprocating air motor is similar to reciprocating air compressor.

Whatsapp
Facebook