Home / Logical Reasoning / Analogies :: Analogy Set - 3 MCQs

Logical Reasoning :: Analogies

  1. MO : 13 11 :: HJ : ?

  2. A.

     19 17

    B.

     18 16

    C.

     8 10

    D.

     16 18


  3. 123 : 132 :: 235 : ?

  4. A.

     232

    B.

     352

    C.

     253

    D.

     252


  5. 8 : 28 :: 27 : ?

  6. A.

     28

    B.

     8

    C.

     64

    D.

     65


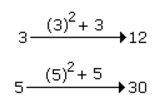
  7. 3 : 12 :: 5 : ?

  8. A.

     25

    B.

     35

    C.

     30

    D.

     15


  9. MXN : 13 x 14 :: FXR : ?

  10. A.

     14 x 15

    B.

     5 x 17

    C.

     6 x 18

    D.

     7 x 19


  11. 16 : 56 :: 32 : ?

  12. A.

     96

    B.

     112

    C.

     120

    D.

     128


  13. 4 : 19 :: 7 : ?

  14. A.

     52

    B.

     49

    C.

     28

    D.

     68


  15. 24 : 60 :: 120 : ?

  16. A.

     160

    B.

     220

    C.

     300

    D.

     108


  17. 335 : 216 :: 987 : ?

  18. A.

     868

    B.

     867

    C.

     872

    D.

     888


  19. 10 : 99 :: 9 : ?

  20. A.

     69

    B.

     80

    C.

     97

    D.

     49