General Knowledge :: Chemistry
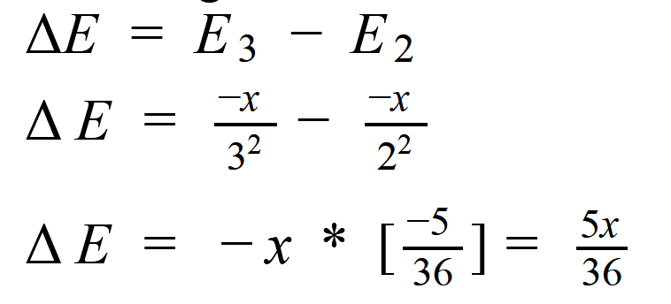
- The ionisation energy of hydrogen atom in the ground state is x KJ. The energy required for an electron to jump from 2nd orbit to 3rd orbit is
- The main chemical constituent of clay is
- The mineral containing both magnesium and calcium is
- The number of g-molecule of oxygen in 6.02 x 1024 CO molecules is
- The most extensive, commercially useful source of thorium as monazite sand occurs in India at

Whatsapp
Facebook
