GATE 2017-2018 :: GATE ECE
- Two independent random variables X and Y are uniformly distributed in the interval [“1, 1]. The probability that max[X, Y] is less than 1 2 is
- A BPSK scheme operating over an AWGN channel with noise power spectral density of N0 / 2 , uses equiprobable signals s1(t) = √2E/T sin(wc t) and s2(t) = -√2E/T sin(wc t) over the symbol interval (0, T). If the local oscillator in a coherent receiver is ahead in phase by 45o with respect to the received signal, the probability of error in the resulting system is
- A transmission line with a characteristic impedance of 100 Ω is used to match a 50 Ω section to a 200 Ω section. If the matching is to be done both at 429 MHz and 1 GHz, the length of the transmission line can be approximately
-
The input x(t) and output y(t) of a system are related as y(t) =
. The system is -
The feedback system shown below oscillates at 2 rad/s when

- The Fourier transform of a signal h(t) is H(jw) = (2cosw)(sin2w) /w . The value of h(0) is
-
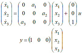
The state variable description of an LTI system is given by
where y is the output and u is the input. The system is controllable for -
Assuming both the voltage sources are in phase, the value of R for which maximum power is transferred from circuit A to circuit B is

- A fair coin is tossed till a head appears for the first time. The probability that the number of required tosses is odd, is

Whatsapp
Facebook