GATE 2017-2018 :: GATE CSE
- Consider an undirected random graph of eight vertices. The probability that there is an edge between a pair of vertices is 1/2. What is the expected number of unordered cycles of length three?
-
Which of the following statements is/are TRUE for undirected graphs? P: Number of odd degree vertices is even.Q: Sum of degrees of all vertices is even.
-
The line graph L(G) of a simple graph G is defined as follows: · There is exactly one vertex v(e) in L(G) for each edge e in G.· For any two edges e and e' in G, L(G) has an edge between v(e) and v(e'), if and only if e and e' are incident with the same vertex in G.Which of the following statements is/are TRUE?(P) The line graph of a cycle is a cycle.(Q) The line graph of a clique is a clique.(R) The line graph of a planar graph is planar.(S) The line graph of a tree is a tree.
-
What is the logical translation of the following statement? "None of my friends are perfect.
-
Consider the following sequence of micro-operations.MBR ↠PCMAR ↠XPC ↠YMemory ↠MBRWhich one of the following is a possible operation performed by this sequence?
-
Consider a hard disk with 16 recording surfaces (0-15) having 16384 cylinders (0-16383) and each cylinder contains 64 sectors (0-63). Data storage capacity in each sector is 512 bytes. Data are organized cylinder-wise and the addressing format is
. A file of size 42797 KB is stored in the disk and the starting disk location of the file is <1200, 9, 40>. What is the cylinder number of the last sector of the file, if it is stored in a contiguous manner? - The number of elements that can be sorted in Θ(log n) time using heap sort is
-
Consider the following function:
The return value of the function is -
Consider the following languages. L1 = {0p 1q 0r | p, q, r ≥ 0}L2 = {0p 1q 0r | p, q, r ≥ 0, p ≠r}Which one of the following statements is FALSE?
-
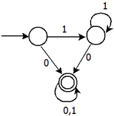
Consider the DFA A given below.
Which of the following are FALSE?1. Complement of L(A) is context-free.2. L(A) = L((11*0+0)(0 + 1)*0*1*)3. For the language accepted by A, A is the minimal DFA.4. A accepts all strings over {0, 1} of length at least 2.

Whatsapp
Facebook