GATE 2017-2018 :: GATE Aeronautical Engineering
-
Choose the most appropriate alternative from the options given below to complete the following sentence: To those of us who had always thought him timid, his ___ came as a surprise.
- The arithmetic mean of five different natural numbers is 12. The largest possible value among the numbers is
- Two policemen, A and B, fire once each at the same time at an escaping convict. The probability that A hits the convict is three times the probability that B hits the convict. If the probability of the convict not getting injured is 0.5, the probability that B hits the convict is
- If a prime number on division by 4 gives a remainder of 1, then that number can be expressed as
-
In the early nineteenth century, theories of social evolution were inspired less by Biology than by the conviction of social scientists that there was a growing improvement in social institutions. Progress was taken for granted and social scientists attempted to discover its laws and phases. Which one of the following inferences may be drawn with the greatest accuracy from the above passage? Social scientists
-
The total runs scored by four cricketers P, Q, R, and S in years 2009 and 2010 are given in the following table: The player with the lowest percentage increase in total runs is

-
One eigenvalue of the matrix A =
is “ 9.33. One of the other eigenvalues is -
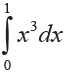
The integration
computed using trapezoidal rule with n = 4 intervals is ____.

Whatsapp
Facebook