ECE :: Signals and Systems
- The Fourier transform of u(t) is B(jω) & the laplace transform of u(t ) is A(s), then which of the following equation is satisfied
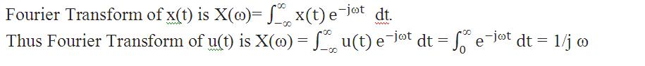
- The Inverse Fourier Transform of u(ω) is
-
The continuous time system described by the equation y(t) = x(t2) comes under which category
- Find the Nyquist Frequency for the given signal x(t) =3 cos 50Ï€t +10 sin 300Ï€t “ cos100Ï€t
- The type of systems which are characterized by input and the output quantized at certain levels are called as
- The type of systems which are characterized by input and the output capable of taking any value in a particular set of values are called as
- An example of a discrete set of information/system is

Whatsapp
Facebook
