ECE :: Exam Questions Paper
-
For finding the square root of N using Newton's iterative formula, the correct expression is:
-
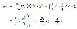
For a random variable x following the probability density function, p(x), shown in figure, the mean and the variance are respectively,

-
For a lossless transmission line, the propagation constant is given as γ = __________ .
-
Consider the pulse shape s(t) as shown. The impulse response h(t) of the filter matched to this pulse is

-
If each stage has a gain of 10 dB and noise figure of 10 dB, then the overall noise figure of a two stage cascade amplifier will be
-
A rectangular waveguide of internal dimensions (a = 4 cm and b = 3) is to be operated in TE11 mode. The minimum operating frequency is
-
Using 4-bit numbers (n = 4) if k = 00112, how is k expressed in 2's complement?

Whatsapp
Facebook
.




= 10.9 .
.