ECE :: Exam Questions Paper
-
A second order system has the transfer function
. With r(t) as the unit step function, the response c(t) of the system is represented by
-
The following Variable Entered Map (VEM) represents which of the following function:

-
- Hall coefficient RH is directly proportional to the charge density
- RH depends upon type of the semiconductor material (n - type or p - type)
- Hall co-efficient RH is directly proportional to hall voltage VH
-
The equivalent form of the logical expression (ABC + ABC + ABC + ABC + ABC) is:
-
In a series operated thyristor configuration, each thyristor should support 100 V. However, the three thyristors only support voltage of 100 V, 90 V and 85 V respectively. Hence, the string efficiency in the case is :
-
A speech signal, band limited to 4kHz and peak voltage varying between + 5V and - 5V is sampled at the Nyquist rate. Each sample is quantized and represented by 8 bits. If the bits 0 and 1 are transmitted using bipolar pulses, the minimum bandwidth required for distortion free transmission is
-
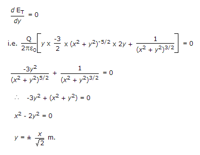
Total electric field intensity is given as
(V/m). The maximum value of
will occur; if and only if

Whatsapp
Facebook




where 

= 0.9167 = 91.67%.
