ECE :: Communication Systems
-
Which of the following antennas is circularly polarized?
-
A transmitter power of 5 W is increased by 20 dB. The effective radiated power is
-
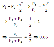
The percentage saving in power of 100% modulated suppressed carrier AM signal is
-
The maximum distance between television transmission and receiving antennas for reasonably good reception should be
-
Assertion (A): EM waves are attenuated as they travel outward from a source
Reason (R): Both field intensity and power density follow inverse square law.
-
The frequency response of a microphone means
-
Graphic equaliser system in stereophonic systems generally have
-
An amplifier operating over a frequency range of 18 to 20 MHz has 10 kΩ input resistance. At a temperature of 27° C, the noise voltage at input of amplifier is (Boltzman constant k = 1.38 x 10-23 J/K)
-
Some sources of TV programs are
- TV camera
- Telecine
- VTR
- External signal
|
A.
bandwidth of frequencies having output with in ± 1 dB of the output at 1000 Hz
|
|
B.
bandwidth of frequencies having output with in ± 3 dB of the output at 1000 Hz
|
|
C.
bandwidth of frequencies having output with in ± 1 dB of the output at 500 Hz
|
|
D.
bandwidth of frequencies having output with in ± 3 dB of the output at 500 Hz
|

Whatsapp
Facebook
or P = 500 W.
if carrier is suppressed then
.