ECE :: Automatic Control Systems
-
Bode magnitude plot is drawn between
-
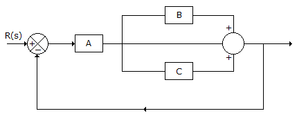
The system in the given figure, has

-
The given figure shows a pole zero diagram. The transfer function G(j1) is

-
In a minimum phase system

Whatsapp
Facebook


=
.

.
.