Chemical Engineering :: Chemical Engineering Plant Economics
-
Generally, income taxes are based on the
-
A balance sheet for an industrial concern shows
-
Chemical engineering plant cost index is used for finding the present cost of a particular chemical plant, if the cost of similar plant at some time in the past is known.
The present cost of the plant = original cost x
The most major component of this cost index is -
Purchased cost of equipments for a chemical process plant ranges from __________ percent of the fixed capital investment.
-
In a chemical process plant, the total product cost comprises of manufacturing cost and the
-
Which of the following is not a component of the fixed capital for a chemical plant facility?
-
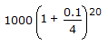
An investment of Rs. 1000 is carrying an interest of 10% compounded quarterly. The value of the investment at the end of five years will be
-
Functional depreciation of an equipment is the measure of decrease in its value due to its
-
The ratio of gross annual sales to the fixed capital investment is termed as the __________ ratio.
-
Effective and nominal interest rates are equal, when the interest is compounded

Whatsapp
Facebook